材料科学与工程研究
1、Ultra-Durable Solar-Driven Seawater Electrolysis for Sustainable Hydrogen Production,2024年10月发表于Advanced Energy Materials
该研究展示了一种基于室外超耐用太阳能海水淡化的多功能海水电解系统,其顶面具有3D仿生微结构,内部具有微通道和毫通道。研究使用巨哥科技的红外热像仪观测太阳照射下蒸发器顶部表面的温度变化:The evolution of the temperature on the top surfaces of the evaporators was obtained using a thermal infrared camera (MAG 62, Magnity Technology, China).

2、Numerical and experimental study on the evolution of thermal contrast for infrared detection of debonding in concrete filled steel tubular structure,2024年11月发表于Applied Thermal Engineering
该研究通过对不同模拟气候条件下钢管混凝土脱粘的数值和实验研究,揭示热指标与热对比度之间的关系,并提出了一种钢管混凝土脱粘的红外评估方法,该方法可以线性量化脱粘尺寸、环境因素和热对比度之间的关系。研究使用巨哥科技的红外热像仪收集钢管混凝土试件的表面温度场数据:To collect the surface temperature field data of the CFST specimen, an MGS-F6 infrared thermal imaging camera (Shanghai Magnity Technologies Co., Ltd., China) was used.

3、Cellulose nanofiber-created air barrier enabling closed-cell foams prepared via oven-drying,2024年12月发表于Carbohydrate Polymers
该研究通过表面活性剂辅助的纤维素纳米纤维(CNF)机械发泡后的烘箱干燥来制备纤维素泡沫,具有超低密度、超高孔隙率和低导热性,使其成为一种出色的隔热材料。研究使用巨哥科技的红外热像仪记录不同厚度的CNF泡沫片覆盖在热源(放置在连续沸腾的水上的玻璃板)的表面上,记录其表面温度随时间的变化:the temperatures of their surface were recorded with an infrared thermal imaging camera (MAG91, Shanghai Magnity Tech nologies Co., Ltd., China).

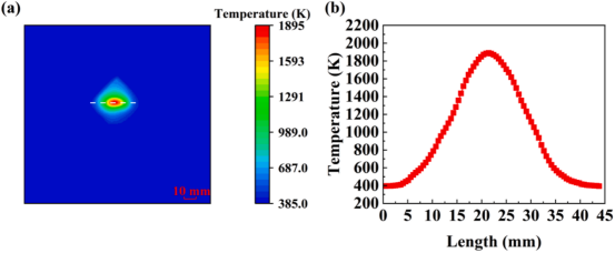
4、The wide-band reflective electrochromic device based on porous gold foil possesses wide solar radiation absorption regulation capabilities,2025年2月发表于Solar Energy Materials and Solar Cells
该研究以金箔为导电材料,制备了一种具有高反射率的柔性导电金电极,通过循环伏安法在柔性导电金电极表面沉积聚苯胺(PANI)薄膜,随后制备出基于PANI的电致变色器件,在太阳辐射调节方面具有广阔的应用前景。研究使用巨哥科技的红外热像仪测量电致变色器件在不同电压下的吸热效果:The thermal infrared radiation images of the PANI film and the electrochromic device were measured by an infrared thermal imager (Magnity MAG 32), with an infrared thermal imaging wavelength range of 7.5~14μm.

5、High strength and ductility in a rare-earth free magnesium alloy processed by rotary swaging and flash annealing,2025年2月发表于 Communications Materials
该研究通过通过旋转型锻加工,然后进行闪光退火开发了一种无稀土的镁铝钙合金,所得合金具有优异的强度和延展性。研究使用巨哥科技的红外热像仪记录加热过程中样品的瞬时温度:An infrared thermal imager (MAG42, Shanghai Magnity Technologies Co.,Ltd.) was employed to record instantaneous temperature of the sample during inductive heating.

6、Flexible MXene@PVP/PEG phase change composite with hydrogen bond assembly for advanced energy storage and thermal management,2025年2月发表于Solar Energy Materials and Solar Cells
该研究成功制备了一种新型柔性相变复合膜(FPCM),结合了高潜热储能和温度调节性能,在电子设备的储能和热管理方面显示出巨大的前景。研究使用巨哥科技的红外热像仪观测FMP, FM8P1P, FM4P1P and FM2P1P四种材料的升温情况:with sample temperature changes monitored over time using an infrared thermal imager (MAGNITY MAG12, China).

7、A comparative structural and combustion study of Al-MO/PVDF (MO=ZnO & ZnFe2O4) thermites synthesised by electrospraying and mechanical mixing,2025年4月发表于Thermochimica Acta
该研究通过电喷雾和机械混合制备了Al-MO/PVDF铝热剂(MO=ZnO、ZnFe₂O₄),具有更快的点火速度、更高的火焰温度和更强烈的燃烧,表现出二次放热(微爆)。电喷雾辅助制备提高了均匀性,并促进了快速、高温反应,从而增强了燃烧性能。研究使用巨哥科技的红外热像仪测量含氧化锌和铁酸锌添加剂的铝基含能混合物的样品燃烧时的最高温度:Instrumentation and associated companies used in the study:Infrared camera MAG91 Shanghai Magnity Technologies Co., Ltd. (China)

8、Zn2+ assisted co-construction of polyaniline electrochromic device with enhanced infrared modulation,2025年4月发表于Electrochimica Acta
该研究开发了一种结合质子酸和锌离子(Zn2+)的共掺杂策略,以制备高性能的基于聚苯胺的电致变色器件。研究使用巨哥科技的红外热像仪测量不同加热温度下Zn-ECD材料的表面实际温度:Long-wave IR (LWIR) radiation imaging was performed with a MAG 32 system (Shanghai Magnity Technologies).

9、Exceptional Oxidation Resistance of High-Entropy Carbides up to 3600℃,2025年6月发表于Advanced Materials
该研究通过高熵成分工程策略成功开发了具有高达3600℃(2.7μm·s−1)优异抗氧化性能的钨基高熵陶瓷(HEC-W),在超高温应用中取得重大突破。研究使用巨哥科技的红外热像仪对所制备的HEC样品进行超高温氧化试验,记录温度: an infrared thermal camera (MAG HT60ET, Magnity Technologies, Shanghai, China) was utilized to conduct ultrahigh-temperature oxidation tests on the as-fabricated HEC samples.

10、Tuning phase transition properties of bulk VO2/Al composites through the pressure control of SPS,2025年6月发表于Ceramics International
该研究发现适当降低烧结温度有利于生成纯VO2/Al复合材料,在此基础上增加压力使材料致密,同时烧结过程中的高压对复合材料的潜热有负面影响。研究使用巨哥科技的红外热像仪拍摄在不同压力下烧结的纯VO2和VO2/Al复合材料的辐射温度-时间曲线,以及在不同温度下的相应红外热像图:In order to evaluate the infrared stealth properties of the samples, thermal images were taken using an infrared thermal camera working in the 8-14μm region (Magnity Technologies, Shanghai, China).

11、Theoretical investigation of interaction between 3.8µm laser and fused silica based on the measurement of temperature dependent absorption coefficient,2025年7月发表于Journal of Non-Crystalline Solids
该研究建立了一套实验装置,用于测量熔融石英在3.8µm波长下的温度依赖性吸收系数并建立了3.8µm激光与熔融石英相互作用的仿真模型。研究使用巨哥科技的红外热像仪来测量辐照区域熔池的温度变化:The infrared radiation pyrometer (MAG32, Magnity technologies, spectral range of 7.5-14µm) was used to measure the temperature evolution of the irradiation area.

12、Rapid Self-Healing and Durable Adhesion of Imine-Linked Dynamic Polymer and Its Thermally Conductive Composites,2025年7月发表于Journal of Applied Polymer Science
该研究开发了一种具有动态亚胺键合交联网络的柔性材料,该材料由生物基香草醛(VAN)、甘油三缩水甘油醚(GTE)和双氨基封端的聚二甲基硅氧烷(AT PDMS)合成。该复合材料不仅保持了出色的自愈性能和延展性,还表现出优异的持久粘合能力,这使得导热复合材料能够更好地适应实际应用中的各种复杂工作条件,从而提高了散热效率。研究使用巨哥科技的红外热像仪观测不同复合材料放在加热板上的温度随时间变化:An infrared thermal imager (MAG32, Magnity Electronics) recorded the temperature distribution of the samples and visualized the thermal management system of the samples.

13、High-elongation, water-weldable, and fully degradable biomass foams fabricated via oven drying,2025年8月发表于Science Advances
该研究使用专门设计的纤维素纳米纤维和酪蛋白酸钠协同产生稳定的湿泡沫,并形成不透气的气泡界面,泡沫表现出与脆性泡沫相当的高拉伸应力,并具有优异的延展性、循环弹性行为,并且是可水焊接的,使其能够定制成定制的几何结构。研究使用巨哥科技的红外热像仪记录样品的温度变化:The temperature evolution of the samples was recorded using an infrared thermal imager (MAG32, Magnity Technologies Co., Ltd., China).
以上为近一年生命科学领域使用巨哥科技热像仪开展的材料科学与工程研究工作,巨哥科技致力于为前沿科学研究领域提供科学级精准测温热像仪,助力科研人员取得一流的科研成果。获取更多新品科学级热像仪资讯,请拨打客服热线:4008081320。